物理试卷
一、单选题(每题4分,共48分)
1.下面关于物体动量和冲量的说法正确的是( )
A.物体所受合外力越大,它的动量变化就越快
B.物体所受合外力冲量越大,它的动量也越大
C.当力与物体的位移垂直时,该力的冲量为零
D.做曲线运动的物体,在任何
时间内所受合外力的冲量一定不为零
【答案】A
2.外出旅游有时需要坐小型游轮,游轮外侧四周会固定一圈旧汽车轮胎,如图所示,当游轮以一定的速度靠岸时,下列关于这些旧轮胎作用的说法中正确的是( )
A.减少了游轮与岸边撞击前后游轮动量的改变量
B.延长了游轮与岸边撞击力的作用时间
C.减小了游轮与岸边撞击时游轮的惯性大小
D.增大了游轮与岸边撞击时游轮单位面积上受到的撞击力
【答案】B
3.如图所示,轻绳下悬挂一静止沙袋,一子弹水平射入并留在沙袋中,随沙袋一起摆动,不计空气阻力,在以上整个过程中,子弹和沙袋组成的系统( )
A.动量不守恒,机械能守恒
B.动量守恒,机械能不守恒
C.动量和机械能均不守恒
D.动量和机械能均守恒
【答案】C
4.关于机械波的形成和传播,下列说法中正确的是( )
A.物体做机械振动,一定产生机械波
B.波的传播速度和质点的振动速度相同
C.参与振动的质点有相同的频率
D.机械波是介质随波迁移,也是振动能量的传递
【答案】C
5.今年2月25日中国跳水队陈芋汐以418.95分获得女子10m跳台第一名。假设她进入水中深度3m后速度减为零,其质量
,忽略空气阻力,且她在水中的运动近似为匀变速直线运动。则从入水到速度减为零的过程中,水给运动员的冲量大小最接近( )
A.
B.
C.
D.
【答案】D
6.在江苏卫视《最强大脑》中,一位选手用”狮吼功”震碎了高脚玻璃杯,如图所示。若我们用手指轻弹同样的酒杯,听到清脆的声音,并测得该声音的频率为500Hz,已知空气中的声速为340m/s,则( )
A.该选手震碎玻璃杯的声波波长约为0.68m
B.选手的声音越大,越容易把玻璃杯震碎
C.选手声音的频率越大,越容易把玻璃杯震碎
D.选手”发功”时,玻璃杯做受迫振动的频率始终为500Hz
【答案】A
7.如图是某绳波形成过程示意图。质点1在外力作用下沿竖直方向做简谐运动,带动质点2,3,4,……各个质点依次上下振动,把振动从绳的左端传到右端,相邻编号的质点间距离为
,已知
时,质点1开始向上运动;
时,质点1到达上方最大位移处,质点5开始向上运动。则( )
A.这列波传播的速度为
B.
时,振动传到质点15
C.
时,质点9处于上方最大位移处
D.
时,质点12正在向下运动
【答案】C
8.如图甲所示,质量不等的a、b两物块,静止在粗糙水平地面上,用大小相等的水平恒定推力F分别作用a、b一段时间后撤去推力,由于惯性,物体将继续运动一段时间后才能停下,两物体的
图像如图乙中a、b所示,已知图中线段
,则( )
A.摩擦力对a、b两物块的冲量
B.摩擦力对a、b两物块的冲量
C.推力F对a、b的冲量
D.a、b两物块的质量
【答案】A
9.小明同学用粗细均匀的一根木筷,下端绕几圈铁丝,竖直悬浮在较大的装有水的杯中,如图所示。现把木筷缓慢向上提起5cm后放手并开始计时,之后木筷做简谐运动,测得振动周期为0.4s。不计水的阻力,则( )
A.t=1s时,木筷处于平衡位置
B.从0.1s到0.2s过程中木筷的动量逐渐变大
C.t=0.2s时,木筷的重力小于其所受的浮力
D.若把木筷缓慢向上提起3cm后放手,振动周期变小
【答案】C
10.如图所示,一个弹簧振子在光滑的水平面上的A、B间做简谐运动,当振子正经过最大位移处(B点)时,有块胶泥落在它的顶部,并随振子一起振动,那么后来的振动与原来相比则( )
A.振幅的大小变小
B.速度的最大值变小
C.加速度的最大值不变
D.势能的最大值变小
【答案】B
11.天花板下用轻弹簧悬挂一个质量为m的平板B,初始时B静止(设此时B的重力势能为0),在B正下方有一个质量也为m的物块A,将其向上抛出并以速度v0与B发生弹性碰撞,设碰撞后B的速度为v、加速度为a、动能为Ek、机械能为E机,则在B上升至最高点的过程中,各物理量随时间t或位移x的变化图像可能正确的是( )
A.
B.
C.
D.
【答案】C
12.如图1、2所示,甲、乙两个完全一样的单摆,甲摆悬挂在天花板上,乙摆上端固定在光滑斜面上,斜面长
,高为h。两摆球拉离平衡位置相同的小角度同时释放,相对平衡位置的位移与时间的关系图像如图3所示。则斜面的高h为( )
A.
B.
C.
D.
【答案】D
二、解答题(共5题,共计52分)
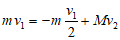
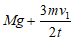
13.(8分)物理课上,老师邀请一位女生共同为大家演示了一个有趣实验。如图,女生托举着一块质量为M的砖块,老师用小铁锤以大小为v1的速率向下击打(击打时间极短),击打后小铁锤以大小为
的速率弹回,已知小铁锤质量为m,砖块受到击打后在手中的缓冲时间为t,重力加速度用g表示。
(1)求在击打过程中,铁锤所受冲量I;
(2)求砖头缓冲过程中对手压力F的大小。
【答案】(1)
,方向向上;(2)
【解析】(1)根据题意,规定向下为正方向,由动量定理有
即铁锤所以冲量大小为
,方向向上。
(2)根据题意可知,铁锤与砖碰撞过程时间极短,动量守恒,规定向下为正方向,则有
缓冲过程,对砖块应用动量定理有
联立解得
由牛顿第三定律得砖头对手的压力为
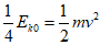
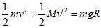
14.(8分)如图所示,半径为R的半圆形滑槽的质量为M,静止放置在光滑的水平面上,一质量为m的小球从滑槽的右边缘与圆心等高处无初速地滑下。已知重力加速度大小为g,求:
(1)小球的最大速度v;
(2)滑槽移动的最大距离X。
【答案】(1)
;(2)
【解析】(1)当小球滑到滑槽底部时,速度最大,系统在水平方向上动量守恒,有
系统机械能守恒,有
解得
(2)当小球滑到最左端时,滑槽运动的距离最大,则有
解得
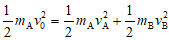
15.(8分)在某爆炸实验基地,把爆炸物以40m/s的速度斜向上发射。当爆炸物动能为发射时四分之一时恰好到最高点,此时爆炸物炸裂成两块A、B,其中mA=0.2kg,mB=0.8kg。经测量发现,A块恰好以原轨迹落回,忽略空气阻力及炸药质量。求:
(1)若爆炸时间持续0.005s,则爆炸过程A、B间的平均作用力大小;
(2)爆炸过程中增加的机械能。
【答案】(1)1600N;(2)200J
【解析】(1)设爆炸物初速度为v0,在最高点速度为v,则有
联立解得:
取爆炸物爆炸前运动方向为正方向,爆炸后裂成两块做平抛运动,A块恰好以原轨迹落回,则爆炸后A的速度
对物块A,由动量定理得
解得
(2)在最高点,取爆炸物爆炸前运动方向为正方向,爆炸过程中水平方向动量守恒,由动量守恒定律得
解得
则爆炸过程中增加机械能
解得
16.(12分)如图所示,竖直放置的轻弹簧劲度系数为k,下端固定在水平面上,上端与质量为m可视为质点的小球相连,开始时弹簧处于原长。现将小球从弹簧上端由静止开始释放,在竖直方向上作简谐运动,其周期为
。已知重力加速度为g,不计弹簧质量和一切阻力,取竖直向下为正,开始运动时刻为0时刻,求:
(1)小球处于平衡位置时弹簧的形变量及简谐运动的振幅A;
(2)小球简谐运动位移随时间变化的表达式;
(3)小球运动到最低点时弹簧的弹力。
【答案】(1)
,
;(2)
;(3)
【解析】(1)物体处于平衡位置时,弹簧形变量
物体做简谐运动的振幅
(2)由题可知,规定竖直向下为正方向,开始时刻物体的位移为负向最大,则
又
解得
(3)由简谐运动的对称性可知,最低点物体的加速度
方向向上,由牛顿第二定律则
解得
17.(16分)如图所示,滑块A、B、C位于光滑水平面上,已知A的质量mA=1kg,B的质量mB= mC=2kg。滑块B的左端连有轻质弹簧,弹簧开始处于自由伸长状态。现使滑块A以v0=3m/s速度水平向右运动,通过弹簧与静止的滑块B相互作用,直至分开未与C相撞。整个过程弹簧没有超过弹性限度,求:
(1)弹簧被压缩到最短时,B物体的速度大小;
(2)弹簧给滑块B的冲量;
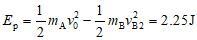
(3)滑块A的动能最小时,弹簧的弹性势能;
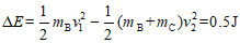
(4)若弹簧被压缩到最短时,B与C恰好相碰并粘接在一起,然后继续运动。假设B和C碰撞过程时间极短。求B、C粘在一起瞬间的速度大小及整个系统损失的机械能。

【答案】(1)1m/s;(2)4 N∙s;(3)1.5 m/s ,2.25J;(4)0.5 m/s ,0.5J
【解析】(1)对AB系统,AB速度相等时,弹簧被压缩到最短,根据动量守恒有
代入数据,解方程可得
(2)B一直加速,B与弹簧分开后,B的速度最大,根据动量守恒和能量守恒有
代入数据,解方程可得
则弹簧给滑块B的冲量
(3) 滑块A的动能最小时,即
,根据动量守恒有
代入数据,解方程可得
根据能量守恒有
(4)弹簧被压缩到最短时,B速度为
,此时B与C发生完全非弹性碰撞,对B、C组成的系统,由动量守恒定律得
代入数据,解方程可
只有B与C发生非弹性碰撞,有机械能损失,对B、C组成的系统,则损失的系统机械能为


发表回复